不同形状物体惯量计算表格

2026-03-23 0 497 百度已收录

转动惯量 = 物体旋转时的 “惯性”

算它,就是为了知道:让这个东西转起来 / 停下来,到底要多大劲?


1. 它到底是什么?

平动(推着走):质量越大,越难推。

转动(绕轴转):转动惯量越大,越难转、也越难停。

它不只和重量有关,还和形状、质量怎么分布、绕哪根轴转有关。

  • 质量离轴越远 → 惯量越大
  • 质量集中在轴附近 → 惯量越小

2. 不同形状的惯量用在什么场合?

我直接给你对应真实机械 / 工程场景

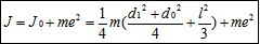
① 细杆(绕中心 / 绕端点)

  • 用在:摆杆、机械臂、连杆、门、摇臂
  • 算它:知道摇起来要多大扭矩,电机选多大。

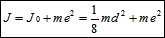
② 圆盘 / 实心圆柱

  • 用在:飞轮、齿轮、滑轮、电机转子、车轮
  • 算它:知道启动 / 刹车有多难,稳不稳。

③ 圆环 / 空心圆柱

  • 用在:皮带轮、空心轴、滚筒、飞轮
  • 同样重量,圆环惯量比圆盘大很多 → 更稳、更难停

④ 实心球 / 空心球

  • 用在:球轴承、陀螺仪、球类运动、行星模型
  • 算它:知道旋转稳不稳、抗扰动能力

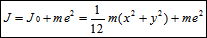
⑤ 长方体 / 块状

  • 用在:旋转台、机械转盘、机器人关节负载
  • 算它:选伺服电机、减速机必须用。

3. 为什么要算?(核心用途,一句话讲透)

① 选电机 / 选马达 必须算

你要转一个圆盘、一个臂、一个轮子:

  • 惯量多大 → 决定扭矩要多大
  • 不算 → 电机带不动、或浪费钱

② 设计刹车、减速机构

惯量大 → 刹车要更强,不然停不住、冲过头

③ 设计飞轮(储能)

惯量越大 → 存的转动能量越多

发电机、发动机、冲床都靠它稳转速

④ 机器人、机械臂、无人机

关节转得快不快、稳不稳、震不震,全看惯量匹配

⑤ 振动、稳定性、动力学仿真

只要涉及旋转、摆动、回转,全都离不开惯量。


4. 最简单总结

  • 转动惯量:衡量旋转有多 “难搞”
  • 不同形状 = 不同分布 = 不同惯量
  • 算它 = 算扭矩、选电机、设计刹车、保证稳定
不同形状物体惯量计算表格
不同形状物体惯量计算表格
不同形状物体惯量计算表格
不同形状物体惯量计算表格
不同形状物体惯量计算表格
不同形状物体惯量计算表格
不同形状物体惯量计算表格
不同形状物体惯量计算表格

资源下载
免费资源
文件1地址点击下载
收藏 (0) 打赏

感谢您的支持,我会继续努力的!

打开微信/支付宝扫一扫,即可进行扫码打赏哦,分享从这里开始,精彩与您同在
点赞 (0)

机械狗 计算表格 不同形状物体惯量计算表格 http://www.jixiedog.com/%e4%b8%8d%e5%90%8c%e5%bd%a2%e7%8a%b6%e7%89%a9%e4%bd%93%e6%83%af%e9%87%8f%e8%ae%a1%e7%ae%97%e8%a1%a8%e6%a0%bc/

上一篇:

已经没有上一篇了!

常见问题

相关文章

官方客服团队

为您解决烦忧 - 24小时在线 专业服务